Coordination-Assisted Bioorthogonal Chemistry: Bringing Orthogonality in the Tetrazine Ligation with (strained) alkenes
- đ¤ Speaker: Kimberly M. Bonger đ Website
- đ Date & Time: Tuesday 23 April 2019, 16:00 - 17:00
- đ Venue: Unilever Lecture Theatre, Department of Chemistry
Abstract
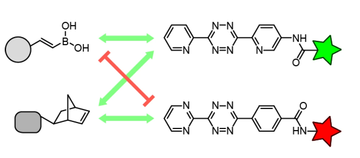
The development of bioorthogonal reactions made it possible to visualize and study biomolecules in their native cellular context and contributed to advanced targeted drug delivery strategies. In our research group we are interested in developing novel bioorthogonal chemistry and apply this in the targeting of specific cell types. We recently added non-strained, highly soluble and stable vinylboronic acids (VBA) as reactants to the bioorthogonal toolbox which react with tetrazines in an inverse-electron demand Diels-Alder reaction. We have observed exceptional high reaction rates between non-strained vinylboronic acids (VBAs) and dipyridyl tetrazines relative to that of tetrazines lacking such dative coordinating ligand. As VBAs are mild Lewis acids, we hypothesize that coordination of the pyridyl to the boronic acid promotes the tetrazine ligation. In the current presentation, we explore the scope and molecular origins of the observed VBA reactivity in more detail and benefit from its unique properties in the simultaneous orthogonal tetrazine labelling of proteins. In addition, we further extended the VBA toolbox as chemically-triggered cleavable linkers for targeted drug delivery with the specific focus on autoreactive B-cells.
Series This talk is part of the Biological Chemistry Research Interest Group series.
Included in Lists
- All Talks (aka the CURE list)
- Biological Chemistry Research Interest Group
- Department of Chemistry
- Featured lists
- School of Physical Sciences
- Unilever Lecture Theatre, Department of Chemistry
Note: Ex-directory lists are not shown.
![[Talks.cam]](/static/images/talkslogosmall.gif)

Kimberly M. Bonger 
Tuesday 23 April 2019, 16:00-17:00